Afiliacja: Zakład Astrofizyki, Departament Badań Podstawowych, Narodowe Centrum Badań Jądrowych
*„Łatwo” tzn. trzeba zaobserwować miliony galaktyk, opisać ich rozkład, dodać teorię opisującą rozkład ciemnej materii i spróbować je jakoś ze sobą połączyć. Można też zrobić kosmologiczne symulacje komputerowe.
Rys. 1. Izokontury gęstości kolumnowej wodoru HI nałożone na zdjęcie optyczne obserwowanego obszaru nieba
Astronomia to pod wieloma względami badanie światła – w każdej długości fali – docierającego do nas z pobliskich gwiazd i odległych galaktyk. Jednak według standardowego modelu kosmologicznego (najlepszej teorii opisującej Wszechświat) większość masy w naszym Wszechświecie to ciemna materia, czyli materiał, który nie emituje ani nie odbija światła. Jak więc mamy jej szukać? Cóż, ta sama teoria przewiduje, że ciemna materia tworzy tzw. halo ciemnej materii, czyli regiony grawitacyjnie związanej materii. W ogólności, jeżeli takie zagęszczenia są duże, to znajdują się w nich galaktyki, a nawet całe gromady galaktyk – wtedy stosunkowo łatwo* jest sprawdzić, gdzie ciemna materia się znajduje. Jednak mogą też istnieć małe (oczywiście w porównaniu do tych wcześniejszych) zagęszczenia ciemnej materii, w których nie ma nawet gwiazd. Wtedy po prostu nie wiemy o ich istnieniu. Są to tzw. ciemne halo. Nie wszystko jednak stracone, w takich małych zagęszczeniach ciemnej materii może znajdować się zimny gaz (głównie wodór). Ten zimny gaz sam z siebie nie świeci, ale może odbijać światło w zakresie fal radiowych. Więc bingo, mamy plan obserwacji. Poszukajmy ciemnych halo, zwanych Obłokami Neutralnego Wodoru o Ograniczonej Jonizacji (RELHIC).
Rys. 2. Profil gęstości kolumnowej Cloud-9 jako funkcja promienia efektywnego \(R_{\rm eff}\)
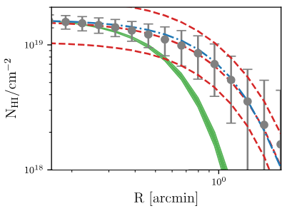
Rys. 3. Kolumnowy profil gęstości Cloud-9 (szare punkty) oraz przewidywania modelu (zielona linia) niestety się nie zgadzają
Naukowcy z Włoch i Kanady przyjrzeli się w szczególności jednemu obłokowi zimnego gazu – Cloud-9. Obłok ten został odkryty w 2023 roku, kiedy zespół astronomów zauważył nadmiar gazu neutralnego wodoru (HI) w pobliżu galaktyki spiralnej M94. Odkrycia dokonano za pomocą radioteleskopu FAST, który nie ma najlepszej rozdzielczości. Dlatego teraz postanowiono ponownie przyjrzeć się Cloud-9, tym razem z wykorzystaniem większego radioteleskopu VLA (Very Large Array).
Okazało się, że Cloud-9 ma dość dziwny kształt. Prawdopodobnie spowodowany oddziaływaniami grawitacyjnymi z większą pobliską galaktyką M94, zgniatającymi lub rozciągającymi chmurę gazu (rys. 1).
Ale czy jest tam ciemna materia?
Aby to ustalić, musimy porównać kolumnowy rozkład gęstości masy, który obserwujemy (rys. 2), z teoretycznym rozkładem, jaki dawałaby ciemna materia i wodór. Musimy niestety założyć, że poza tymi dwoma składnikami w obłoku nie ma niczego innego (co nie musi być prawdą). Oczywiście nie w pełni rozumiemy, czym jest ciemna materia, wiemy jednak, że oddziałuje grawitacyjnie ze zwykłą materią, i potrafimy przewidzieć, jak te dwa składniki wpłynęłyby na kształt i rozkład gęstości w obłoku.
Niestety model (zielona linia na rys. 3) nie zgadza się z obserwacjami (szare punkty na rys. 3) i nie możemy na chwilę obecną definitywnie stwierdzić, czy Cloud-9 jest lub nie jest ciemnym halo. Jest jednak kilka rzeczy, które astronomowie mogą zrobić. Po pierwsze, teoretycy mogą przeprowadzić dokładniejsze symulacje rozkładu masy w ciemnych halo. Z kolei obserwatorzy mogą zrobić lepsze obserwacje, ponieważ jest szansa, że w Cloud-9 są gwiazdy, tylko zbyt słabe, abyśmy mogli je wcześniej zaobserwować. Na przykład w pobliżu Drogi Mlecznej znajduje się wiele bardzo słabych galaktyk karłowatych, które są małe i emitują bardzo mało światła. Dopiero w ciągu ostatnich kilku lat opracowaliśmy teleskopy, które mogą je obserwować. Cloud-9 może być taką galaktyką karłowatą.
Na podstawie: Alejandro Benítez-Llambay, Rajeshwari Dutta, Michele Fumagalli, and Julio F. Navarro et al. 2024, „Examining the Nature of the Starless Dark Matter Halo Candidate Cloud-9 with Very Large Array Observations”, ApJ, 973 61.
Prawdopodobnie więc będziemy musieli trochę poczekać na ostateczną odpowiedź na temat natury Cloud-9, ale tak czy inaczej naukowcy są podekscytowani. Albo jest to pierwsze bezgwiezdne halo ciemnej materii, albo jest to najdalsza ultra słaba galaktyka karłowata, jaką kiedykolwiek wykryto! Dlatego zdecydowanie warto mieć ją na oku.
Rys. 1. Izokontury gęstości kolumnowej wodoru HI nałożone na zdjęcie
optyczne obserwowanego obszaru nieba
Rys. 2. Profil gęstości kolumnowej Cloud-9 jako funkcja promienia
efektywnego
Rys. 3. Kolumnowy profil gęstości Cloud-9 (szare punkty) oraz
przewidywania modelu (zielona linia) niestety się nie zgadzają